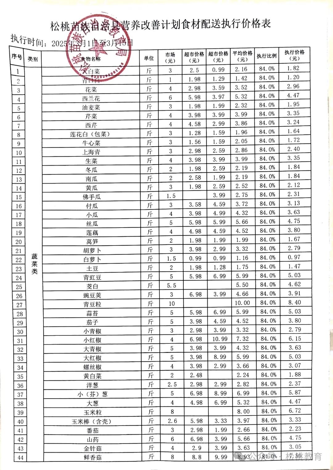
为落实学生餐食材市场询价定价制度,根据铜仁市教育局关于印发《关于进一步强化全市学生餐管理工作的有关规定(暂行)》的通知要求,2月28日,县发改局,县市场监督管理局、县教育局、县农业农村局、学校教师代表、配送企业代表对2025年3月第一次学生餐配送食材进行询价。现将食材询价结果进行公示,接受广大人民群众监督。
通讯地址:松桃苗族自治县经济开发区(县教育局营养(资助)办)
附件:松桃苗族自治县营养改善计划食材配送询价表
松桃苗族自治县教育局
2025年2月28日




|
松桃政府网 微博、微信 |
| 索 引 号: | 000014349/2025-278418 | 信息分类: | |
| 发布机构: | 生成日期: | 2025-03-03 15:46:01 | |
| 文 号: | 是否有效: | 是 | |
| 名 称: | 松桃苗族自治县2025年3月第一次营养改善计划食材配送价格公示 | ||
为落实学生餐食材市场询价定价制度,根据铜仁市教育局关于印发《关于进一步强化全市学生餐管理工作的有关规定(暂行)》的通知要求,2月28日,县发改局,县市场监督管理局、县教育局、县农业农村局、学校教师代表、配送企业代表对2025年3月第一次学生餐配送食材进行询价。现将食材询价结果进行公示,接受广大人民群众监督。
通讯地址:松桃苗族自治县经济开发区(县教育局营养(资助)办)
附件:松桃苗族自治县营养改善计划食材配送询价表
松桃苗族自治县教育局
2025年2月28日



